Back to imcstips.com glycobiology page
IMCS
N. me. CSS
N. me. CSS
Couldn't load pickup availability
Synonyms: CMP-sialic acid synthetase from Neisseria meningitidis ; NmCSS; CMP-N-acetylneuraminic acid synthetase; CMP-NeuNAc synthetase; CMP-sialate diphosphorylase; CMP-sialate pyrophosphorylase; CMP-sialate synthase; CMP-sialic acid synthetase
CAS Number: 9067-82-7
EC Number: 2.7.7.43
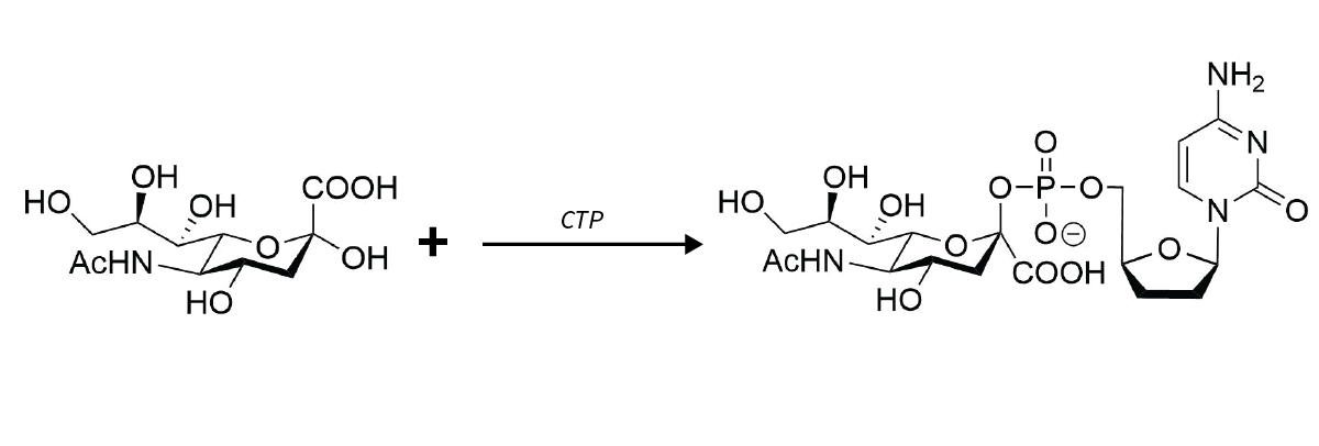
CMP-sialic acid synthetase catalyzes the conversion of N-acetylneuraminic acid (Neu5Ac) to CMP-Neu5Ac. The activation of sialic acids (Sia) to CMP-Sia is a prerequisite for the de novo synthesis of sialoglycoconjugates. CSS from Neisseria meningitidis (NmCSS) has been commonly used with other enzymes such as sialic acid aldolase and/or sialyltransferase in synthesizing a diverse array of compounds containing sialic acid or its naturally occurring and non-natural derivatives.
Product Specifications:| Protein Concentration | 1 mg/mL |
| Enzyme Activity* | >10 U/mg |
COA and Safety Information
COA and Safety Information
Posters
Posters
- ACS 2023: Stabilization of Bacterial Glycoenzymes Involved in One-Pot MultiEnzyme Reactions
- ACS 2023: One-Pot MultiEnzyme (OPME) Sialylation Kits for Custom Ganglioside Synthesis
- ACS 2023: Commercial Production of Recombinant Sialic Acid Aldolase for One-Pot Multi-Enzyme (OPME) Synthesis of Neu5Gc-Containing Sialosides
Journal Articles
Journal Articles
Did you use any of our products in your journal article? Please let us know here and we will gladly link to your work!
Shipping
Shipping
- Products are shipped at ambient temperature via FedEx ground (expedited ovenight delivery for additional $15).
- Temperature-sensitive products are shipped in specialized insulated packaging.
- All items are shipped overnight Monday through Thursday.
- We do not ship to residential addresses or P.O. Boxes.
Need Help?
Need Help?
Have questions? Email us at custserv@imcstips.com or call us at +1 (888) 560-2073. You can also fill out our contact form here.
Share

-
IMCS is an ISO 9001:2015 Certified company.
We understand the importance of being a dependable resource for our customers, which is why we've taken the necessary steps to obtain this certification. ISO 9001:2015 certifies that our procedures will meet the needs of customers and stakeholders while maintaining the highest standard of statutory and regulatory requirements pertaining to the quality system elements needed to maintain an efficient system.
-